
Опыт с соей: полножирная необработанная – обжаренная – экструдированная
Получение позитивного опыта возделывания сои в Баварии своим следствием будет иметь увеличение площади выращивания этой культуры. Новые сорта со стабильной продуктивностью сорта и улучшение технологии выращивания, скорее всего, приведут к стабильному получению урожая и прибыльности на уровне озимой пшеницы. К этому же нужно учитывать дополнительные позитивные стороны – улучшение севооборота и больше возможностей для планирования предшественников. Возделывание соевых бобов может улучшить обеспечение белком как людей, так и животных, сделать регион независимым от импорта и мировых рынков и значительно облегчить обеспечение свободы от ГМО.
Для применения выращенной сои в свиноводстве еще стоят вопросы по качеству и количеству мощностей для ее переработки. Свиньи могут полноценно использовать аминокислоты соевых бобов для синтеза протеина тела только после удаления из них ингибиторов трипсина. Обезвредить другие антипитательные вещества (которые сдерживают рост и ухудшают пищеварение), такие как лектин (ослабляющий иммунитет) и аллергены, можно с помощью нацеленной обработки зерен температурой и паром. Стандартный метод обработки соевых бобов на производстве соевого масла и высокоперевариваемого соевого шрота включает в себя очистку от оболочек, выделение масла с применением растворителя (экстракция) и тостирование под слабым давлением с использованием пара. Правильная термическая обработка, особенно с применением сухой температурной обработки, всегда несет с собой опасность повреждения протеина.
В Баварии сейчас применяют два разных способа обработки сои:
- «жарка» — увлажнение соевых бобов, пропускание их по вращающемуся барабану через газовую горелку, охлаждение (20 минут).
- «экструдирование» — частичное извлечение масла посредством холодного пресса (соевый жмых), обработка давлением и температурой в экструдере (шнековом прессе).
Срочно необходимо проверить эффективность обоих этих методов обработки сои и определить питательную ценность отечественных соевых продуктов (урожай станции Груб 2009 год, сорт Мерлин, урожайность 26,1 ц/га, маржинальный доход 250 евро/га). Сначала нужно определить питательную ценность соевых продуктов – высушенной полножирной сои, прожаренной полножирной сои и экструдированного соевого жмыха – посредством анализов и опытов на перевариваемость. Параллельно должны проходить опыты по выращиванию поросят. Еще один опыт будет проведен по откорму свиней необработанными соевыми бобами.
Поставленные задачи
- Какие питательные вещества (сырые питательные вещества, аминокислоты, минеральные вещества, жирные кислоты, антипитательные вещества) содержатся в отечественных соевых продуктах?
- Какую перевариваемость питательных веществ можно применять при оценке энергетической ценности кормов?
- Какое количество можно без проблем использовать в кормлении поросят, свиноматок и свиней на откорме?
- Какая производственная ценность этих кормов?
Проведение опыта
Ряд опытов по перевариваемости проводится по обычной системе – отличительный тест, в каждом по 4 кастрированных поросенка на каждый вид кормления.
Место, время проведения и животные:
- отдел исследования обмена веществ в институте по кормлению животных и кормовому хозяйству.
- с октября 2009 года: 12 кастратов породы Pi x DL/DE (около 12 кг живого веса).
Тестовые кормосмеси
А) Основной рацион = 100% основного рациона (95% ячмень, 5% минеральный корм для поросят).Б) Дополнительный рацион 1 = 70% основного рациона + 30% необработанных соевых бобов.
С) Дополнительный рацион 2 = 70% основного рациона + 30% прожаренных соевых бобов.
Д) Дополнительный рацион 3 = 70% основного рациона + 30% экструдированного соевого жмыха
Кормление: Раздача два раза в день в свежем виде.
Сбор данных:
- Анализ питательности кормов
- Отдельное кормовое сырье (ячмень, необработанные соевые бобы, обжаренные соевые бобы, соевый жмых экструдированный: СВ, СП, СЖ, СК, СЗ, БЭВ + крахмал + сахар, аминокислоты, питательные вещества, растворимый лизин, активность уреазы).
- Кормосмеси А, Б, С, Д
- Анализ кала для отдельных животных
Вес животных: взвешивания отдельных животных в начале и в конце опыта
Результаты теста на перевариваемость и определение энергетической ценности
Полученные результаты по питательности сравниваются с табличными данными (Грубер, 2009 г)
- Содержание сырого протеина сорта Мерлин на 18% ниже, содержание сырого жира на 14% выше, содержание сырой клетчатки на 28% ниже чем табличные данные. Можно предположить, что сорт Мерлин выведен с целью большего содержания масла. Это с одной стороны позволяет ожидать большего содержания энергии (соевое масло содержит около 40 МДж ОЭ/кг), с другой стороны аминокислот в этом сорте содержится тоже меньше. Понятно, что рассчитывать получить после экстракции очищенных бобов высокопротеиновый соевый шрот с содержанием сырого протеина 47% и выше не стоит. Этот сорт теряет свою экономическую ценность, поскольку энергия (зерновые) в данный момент сравнительно дешевая, а белок (соевый шрот) – дорогой. Действительное содержание протеина сорта Мерлин возможно является более высоким. После сравнения с более высоким содержанием протеина в соевом жмыхе часть азота при обжаривании бобов частично улетучилась.
- Количество аминокислот при более низком показателе сырого протеина ниже, а концентрация их в сыром протеине – выше. Решающим здесь будет эффективность обработки соевого белка и перевариваемость аминокислот в кишечнике.
- Ожидаемым является повышенное содержание сырой золы (около 12%), что нужно отметить с точки зрения экологической нагрузки, особенно по фракциям фосфора, а также меди и цинка.
- Соевое масло отличается высокой долей полиеновых кислот (около 60%, в рапсовом масле 30%). Если кормление поросят или свиней на откорме своей целью имеет производство мясных продуктов, подходящих для переработки и стабильных в хранении, комбикорм должен содержать максимально 15 г/кг полиеновых кислот. Тогда в комбикорм можно включать только 5-7% полножирной сои данного сорта или 10-15% соевого жмыха (в зависимости от степени отжима масла и вида зерновых, которые входят в рацион). Тогда кукуруза не может быть основным компонентом рациона или количество исследуемых соевых продуктов нужно очень сильно ограничивать.
- Возможное негативное влияние температурной обработки (сушка, обжаривание) на количество протеина в соевых бобах уже было упомянуто.
- Остаток жира в соевом жмыхе низок, что радует. Это позволяет увеличить долю ввода в рацион.
Приведенные в таблице 2 данные о перевариваемости сырых питательных веществ, свидетельствуют о следующем:
- в целом перевариваемость на очень высоком уровне. Данные по полножирной сое почти такие же, как табличные данные.
- по соевому жмыху нет табличных данных. Но в целом его можно сравнивать с перевариваемостью соевого шрота 43.
- из данных по перевариваемости рассчитана следующая энергетическая ценность кормов: для полножирной сои – сырой 19,22 МДж ОЭ/кг СВ, для обжаренной полножирной сои – 18,36 МДж ОЭ на кг СВ и для экструдированного соевого жмыха 15,63 МДж ОЭ на кг СВ.
- совершенно ясно, что перевариваемость сырого протеина не годится для оценки того, как способ обработки влияет на усвояемость аминокислот в тонком кишечнике.
Результаты усвоения аминокислот в тонком кишечнике
Для соевых бобов установлены средние показатели перевариваемости аминокислот в тонком кишечнике (ГФЕ 2006, без указания данных по их происхождению и сортовых характеристик). Еще нет подходящего и сертифицированного лабораторного метода для определения точной доступности аминокислот. Для приблизительного определения были разработаны уравнения регрессии на основе перевариваемого сырого протеина.
Оценка перевариваемости аминокислот в тонком кишечнике ориентируется на высокую перевариваемость сырого протеина и предполагает, что ингибиторы трипсина в корме полностью разрушены. Соевые бобы – сырые по этому методу имеют такую же высокую перевариваемость, как и обжаренные или экструдированные.
- Для предотвращения ложных выводов одну группу животных кормили необработанной полножирной соей (10% в рационе) а вторую — соевым шротом 43. После 6-недельного откорма животные на сырой сое были на 7 кг легче.
- Чтобы иметь возможность оценить различные способы обработки сои, необходимо было бы измерить перевариваемость аминокислот в тонком кишечнике на фистулированных животных.
- Старый быстрый метод для определения действия тепловой обработки на белок сои — активность уреазы. Но она говорит только о том, насколько сильно был разрушен чувствительный энзим уреаза, и тем самым другие антипитательные вещества, и ничего не говорит о перевариваемости отдельных аминокислот.
- Грубый расчет для оценки качества протеина может дать показатель «растворимый лизин по Карпентеру». И этот показатель значительно выше был у экструдированного соевого жмыха.
Выводы
Результаты анализов соевых продуктов сорта Мерлин указывают на сниженное содержание в нем сырого протеина и аминокислот по сравнению с табличными данными. Кроме того они содержат больше сырого жира и полиеновых кислот. Следовательно, граничные цифры применения этого сырья в кормлении животных из-за полиеновых кислот, которые плохо влияют на качество мяса и сала, необходимо снижать. Полученное количество энергии в соевых продуктах в табличных данных. Для определения доступных в тонком кишечнике аминокислот и влияния способа обработки на качество протеина не подходят обычные методы определения перевариваемости, и активность уреазы тоже не подходит. Опыт кормления животных показывает, что сырые соевые бобы нельзя скармливать свиньям. В приложении проводятся данные с указаниями по срокам хранения и методах скармливания тестируемого сырья, они должны быть полезными при составлении рационов.
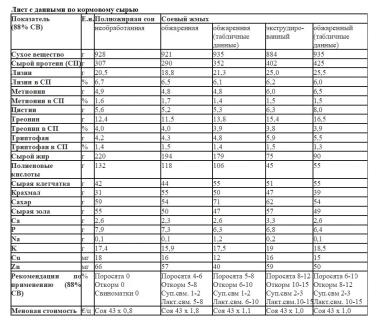
Рекомендуем ознакомиться с прикрепленной таблицей "Лист с данными по кормовому сырью"
Примечания:
- Сырые бобы скармливать нельзя (спад продуктивности) – тостировать, экструдировать.
- Хранить только после хорошей очистки (пыль, проба в пакете) и бережная сушка (плесень).
- Не нагревать всухую (повреждение аминокислот).
- Срок хранения максимально 14 дней (окисление жира).
- Полножирная соя не подходит для скармливания с кукурузой (полиеновые кислоты).
- Учитывать энергию (супоросные свиноматки или конец откорма).
- Обязательно сделать анализы (сухое вещество, сырой протеин, сырая клетчатка, сырая зола).
- Сырой протеин можно максимально снизить на 2% в абсолютном показателе (например при цели 40 разрешено больше 39), лизин максимально на 20% в относительном показателе (например, 25 г/кг, разрешено 20 г/кг).
Источник: soft-agro.com
Пишите комментарии, ставьте лайки и подписывайтесь на Животновод Direct.Farm, чтобы не пропустить самое интересное!







Нет комментариев