
Для чего нам элементы питания? (часть первая: железо)
469
Коллеги, я вас сердечно приветствую
Я много работаю в сфере питания, защиты и физиологии растений. И за годы работы у меня сформировалось мнение, чтобы правильно использовать удобрения надо четко понимать, для чего мы их используем, а для этого надо хорошо понимать особенности каждого элемента питания. Именно поэтому я решил написать ряд постов, где постараюсь подробно и доступно объяснить особенности каждого элемента питания. И начнем мы с железа
Кратко об этом элементе:
Железо это металл, очень распространенный в земной каре (среди металлов занимает второе место после алюминия), однако в чистом виде встречается редко. Особенность строения его атома позволяет ему существовать в разных форма, самые распространённые это Fe(2+) - чаще всего имеет зеленоватый или синеватые оттенки и Fe(3+) - чаще всего имеет буроватые и красноватые оттенки. причем он может переходить из одной формы в другу, так же он легко образует комплексные соединения, эти два свойства и определяют основные его функции в растениях
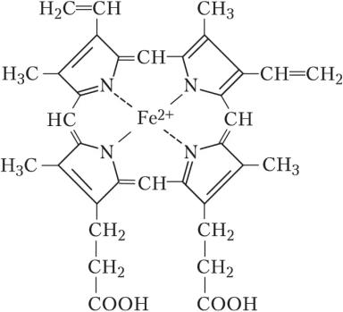
В растениях очень часто железо образует комплексы с так называемыми гемовыми соединениями (смотрите картинку), в данном случае железо находится в форме Fe(2+), именно в таких соединениях железо выполняет многие свои функции
Одна из первых таких функций - пероксидазная активность. Гемовые формы железа могут образовывать пероксидазы - особые ферменты, которые учувствуют в окислении многих молекул, эта стадия является необходимой для образования лигнина, ауксина (фитогормон), некоторых витаминов и других, тем самым регулируя уровень этих веществ. Как побочный продукт этих реакций образуются активные формы кислорода. Они могут быть как полезны растительному организму, так и вредны путем влияние на большое количество физиологических процессов. В опытах с томатами, проводимые в Японии было показано положительное влияние на защиту растений от патогенов на ранних этапах. С этой позиции выгодно использовать железо для замачивания семян. Так же в результате работы пероксидаз могут вырабатывать вещества, которые уменьшают негативных эффект от избытках тяжелых металлов в почве, путем их связывания и осаждения. Так же некоторые пероксидазы помимо железа содержат еще и медь (но о них мы поговорим в другой раз)
Вы наверное спросите, а что делать с негативным влиянием активных форм кислорода? тут так же нам на помощь придет железо. Одна из самых распространённых активных форм кислорода эта перекись. Гемовые формы железа так же входят в состав каталаз - ферментов, способных расщеплять перекись водорода до воды и кислорода
Железо так же помогает усвоению азота, подробно об азоте я напишу в другой статье, но пока краткая информация. Растение может усваивать азот в четырех формах (нитратная, нитритная, аммонийная и амидная). Попав внутрь растение начинает из этих форм строить аминокислоты и белки. Но для этого процесса нужна аммонийная форма, поэтому растение сначала переводит нитрат в нитрит, а затем нитрит в аммоний (процесс состоит из двух стадий, прямо перевести нитрат в аммоний невозможно), и на каждом из этих этапов работают специальные белки, в состав которых входит железо и молибден.
Так же железо входит в леггемоглобин - красный белок, образующийся в клубеньках бобовых культур, участвующий в таком процессе как азотфиксация - перевод растворенного в воде атмосферного азота в доступную растениям форму.
Это были функции железа, которые он выполняет находясь в гемовой форме. Но что еще он делает? например входит в состав ферредоксина - белковый комплекс выполняющих множество функций в хлоропластах, а следовательно и в процессе фотосинтеза. Входит в состав аконитазы - белка выполняющую небольшую часть в цикле Кребса - цикл трикарбновых кислот, важная составляющая процесса дыхания и получения энергии. так же входит в состав белков ответственных за транспорт азота по растению. Влияет на трансформацию и синтез липидов. участвует в образовании запасающего белка - ферритина . На растении табака был поставлен опыт, по результатам которого стало ясно, что железо необходимо для цветение растений.
Железо находится в растениях в наибольшем количестве (среди микроэлементов). При этом 80% железа идет на процесс фотосинтеза. О количественных рекомендациях по внесению микроэлементов я так же напишу в другом посте.
Спасибо большое тем, кто дочитал до этого момента, буду рад услышать обратную связь, ваши вопросы, о чем бы ы хотели еще прочитать и т.д.
Опубликовано: 11 августа, 2023 в 15:34
Похожие посты

Я с Вами, я на Direct Farm!

Оповещение об обработке посевов пестицидами пчеловодов

Что с озимней пшеницей?

Вредители кукурузы. Мониторинг за лётом чешуекрылых.

⚜️Яровой ячмень и Ризобакт⚜️


2 комментария